所屬科目:工程統計學與品質管制概要
(一)請求出平均值()和 R 管制圖之 3 倍標準差管制界限。(10 分)
四、單位隨機選派八位員工參加一個品質管理相關課程,請以 5%顯著水準檢 定此課程是否有效果。八位員工參與訓練前後之測驗成績如下表: (15 分)注意:
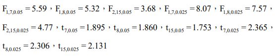
五、從三家廠商採購相同之用品,為了解員工使用情況,經收集五個單位一 星期之請領數量如下表,請列出假說檢定、求出變異數分析表並以 α = 0.05 檢定廠商、單位對請領數是否有影響。(20 分) 注意: