所屬科目:藥理學與藥物化學
52.下列何者 mu 受體致效劑之中樞鎮痛活性最低? 受體致效劑之中樞鎮痛活性最低 (A) (B) (C) (D)
55.下列何者不是 almotriptan 常見的代謝物? (A) (B) (C) (D)
56.下圖結構藥物的生體可用率會隨劑量增加而降低,此與下列何者最有關連? (A)metabolism (B)water solubility (C)transporter (D)first pass effect
60.下列 ACE 抑制劑(結構通式如下圖 ),何者之 R1 不是甲基? (A)ramipril (B)lisinopril (C)spirapril (D)perindopril
62.下圖為 thiazide 利尿劑之結構通式,何者取代基為何者取代基為-SO2NH2? (A)R1 (B)R2 (C)R3 (D)R4
66.下列何者為 nateglinide 之主要代謝物? (A) (B) (C) (D)
68.腎上腺皮質素類藥物結構,通常具下列何種骨架通常具下列何種骨架? (A) (B) (C) (D)
71.下列何者為 diclofenac 的主要代謝物? (A) (B) (C) (D)
74.下列何者具有穩定之分子內氫鍵,可形成適當的 可形成適當的 U 型構型,提高對 anaplastic lymphoma kinase(ALK)親和 kinase 力? (A) (B) (C) (D)
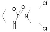
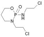
80.下列何者為 ifosfamide 的結構? (A) (B) (C) (D)