所屬科目:工程力學(包括流體力學與材料力學)
一、有一ABCD 水平桿件如下圖所示,AB 段橫斷面面積 A1 =10✖10-4 m2 ,BCD 段橫斷面面積A2 = 8✖10-4m2。ABCD 桿件之 A 點為固定端,D點與牆面有一間隙 δ=2✖10-4 m2 存在。設L=2 m,桿件之彈性係數E=200 GPa。當 B 點受一集中力 P=5 kN,且 C 點受一集中力 Q= 20 kN時,D點是否會碰觸到牆?試求P及Q作用下,此桿件在 A 點與D點所受之水平力,並註明反力之方向。(25 分)
二、有一矩形梁受兩個集中載重如下圖所示,A 點為鉸支承,B 點為滾支承,C 點為自由端。如此梁之最大容許彎曲應力為10 MPa ,且最大容許剪應力為 0.5 MPa ,試求 P 之最大值為何?(25 分)
三、有一 60°應變計組合,安裝在圓柱形壓縮空氣儲槽表面如下圖所示。應變計A 的紀錄為 εa =100✖10-6,應變計 B 與 C 的紀錄相等,且εb=εc= 280✖10-6。如果儲槽的半徑 r 與厚度 t 之比值 r/t= 20,且儲槽內部空氣壓力為p=4 MPa ,計算儲槽材料的彈性係數 E 和柏松比ν 。(25 分)提示:εx'=
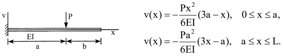
四、有一連續梁 ABCDE 如下圖所示,A 點為固定端,B 點為鉸支承,C 點為鉸接,D 點為滾支承。此梁於 C 點受到一集中載重 P,如梁斷面彎矩勁度為 EI,求 A、B 及 D 點之反力(可包括彎矩)。並計算 C 點之位移、D 點之轉角及 E 點之位移。請註明反力、位移及轉角之方向。(25 分)提示: a + b =L