所屬科目:工程數學(應用數學, 線性代數、微分方程、複變函數與機率)
一、試求常微分方程式 y ''-4 y'+5y=之通解。
二、試求一時間函數 f(t)=, t ≥ 0, β ≠ 0 之拉普拉斯轉換(Laplace Transform)F(s)。
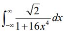
三、試以剩值定理(Residue Theorem)求之值。
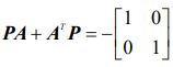
(一)試求另一 2x2 對稱矩陣 P 滿足下列矩陣方程式,。
(二)試求該對稱矩陣 P 的兩特徵值。
五、(一)一曲線 C,其表示式為 r(t)= [3t ,4t2 ,8t4 ],t 為參數,試求其切線向量與單位切線向量。
(二)試求一向量函數 F =之面積分,其中 n 為 dA 指S向外的法線方向單位向量,且此有界封閉曲面的表示式為S : x2+y2+z2=9。
(一)試求 k 值。
(二)試求其邊際平均值(Marginal Mean),E{Y}。
(三)試求其期望值(Expected value),E{ X3Y2}。