所屬科目:工程數學(應用數學, 線性代數、微分方程、複變函數與機率)
1 令矩陣 A =,則矩陣 A 的秩 rank( A )為何?(A)5 (B)4 (C)3 (D)2
2 下列何者為二階常微分方程式=0的解(c1 , c2 為任一實數(real values))? (A)y = (B)y =(C)y = c1x + c2x3 (D)y =
4 令矩陣 A = 為一斜對稱矩陣(skew symmetric matrix),其中a, b, c 為實常數,則下列何者錯誤? (A)a=2 (B) a, b 兩數乘積 ab = 6 (C) a, c 兩數乘積 ac = - 6 (D) b, c 兩數乘積 bc = 9
5 若矩陣 A =,則其行列式 det( A )為何? (A) x3(10+x) (B) x3(10+4x) (C) 24(10+ x4) (D) 30(10+4x4)
6 下列何者不是矩陣 A =的特徵向量/固有向量(characteristic vector/eigenvector)? (A) I = (B) J =(C) K =(D) L =
7 下列給定的矩陣,何者不可對角化?(A)A=(B)B=(C)C=(D)D=
9 微分方程式(y + x3)dx = xdy 滿足 y(1) = 2 的解為 y = ax3 + bxc ,其中 a, b, c 為實常數,則下列何者正確? (A)a=1 (B)b= (C)c=2 (D)c=1
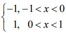
10 令週期函數f(x)=, f (x) = f ( x + 2) , 其傅立葉級數(Fourier series )展開為 f (x) =(...+a sin(πx) + b sin(2πx) + c sin(3πx ) +d sin(4πx ) +... ) ,其中 a, b, c, d 為實常數,則 a+b+c+d 之值為何?(A)(B)(C)(D)
11 若使(4x2y-3xy2)dx+(x3-2x2y)dy=0 為正合(exact)的積分因子為,其中 m 與 n 皆為實數,則 m+n 之值為何?(A)-2(B)-1(C)1(D)2
12 下列各組函數,何者不為線性獨立(linearly independent)? (A)(B) ln x、ln x2、ln x3, 0 < x < ∞ (C) 1、x、x2, -∞ < x < ∞ (D) 1、cos x、sin x, -∞ < x < ∞
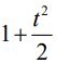
13 微積分式, y (0) = 1 之解為何? (A) y(t) = (B) y(t) = (C) y(t) =(D) y(t) =
14 複變函數 f (z)= ,若 C 為逆時針方向繞圓周| z | = 3 的路徑,則下列何者是積分之值?(A) (B) (C)(D)
15 複變函數 f ( z ) =,針對區域 1 <| z |< 2 對函數 f ( z ) 展開可得f ( z )=,其中 a, b, c, d 為實常數,則下列何者正確?(A)a=1(B)b=-1(C)c=(D)d=
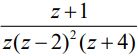
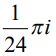
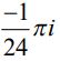
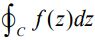
16 下列複變函數何者不滿足柯西-黎曼方程式(Cauchy-Riemann equation)而為不可解析函數(極點除外)?(其中 z = x + iy, i =)(A) f (z) = (B) f ( z ) = Re(z2) - i Im(z2) (C) f (z) = 3π2(z3+ 4π2z) (D) f (z) = sin( x ) cosh( y ) + i cos( x )sinh( y )
17 下列何者是複數方程式 z4 - 6iz2 + 16 = 0 的其中一根?(其中 i =) (A)1 + i (B) -1 + 2i (C) -2 + i (D) 2 + 2i
18 已知隨機變數 Z = 3 X - 2Y + 3 的變異數(variance)為 54,其中 X 的變異數為= 2 ,且 X 與 Y 的共變異數(covariance)為= -2 ,則隨機變數 Y 的變異數為何? (A)7 (B)5 (C)3 (D)1
19 已知隨機變數 X 和 Y 的聯合機率密度函數(joint probability density function)為,則下列何者正確? (A) X2 的期望值(expected value) (B) Y2 的期望值(expected value)(C) X 的期望值(expected value)(D) Y 的期望值(expected value)