所屬科目:工程數學(應用數學, 線性代數、微分方程、複變函數與機率)
1 考慮函數 Φ ( x, y, z ) = 2 x2 y - yz2 ,請決定梯度 ∇Φ ( x, y, z ) 在點 (1, - 1, 2) 之值為何? (A) -4i + 2 j + 8k (B) -4i - 2 j + 8k (C) -4i - 2 j - 8k (D) -4i + 2 j - 8k
2 若•為內積運算,✖為外積運算,請計算 (2i - j)•[(i + 3j - k) ✖ (3i - k)] 之值為何? (A)-4 (B) -5 (C)-6 (D)-7
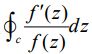
3 圍線積分 其中 c 為由直線 y = x 與拋物線 y = x2所圍成的封閉路徑,利用格林 定理(Green’s theorem)將此積分化成面積分,其中 R 為封閉路徑 c 所圍的區 R 域,請問 u ( x, y ) 與 K 分別為何? (A) u ( x, y ) = y - 2 x , K = (B) u ( x, y ) = 2 x - y , K = (C) u ( x, y ) = 2 x - y , K = (D) u ( x, y ) = y - 2 x , K =
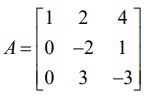
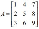
4 下列那一個向量不在矩陣 之列空間(row space)? (A) (B) (C) (D)
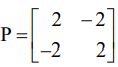
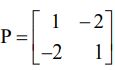
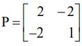
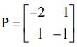
5 矩陣 經由對角化得 ,下列何者是 P 矩陣? (A) (B) (C) (D)
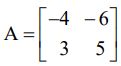
6 假設矩陣 ,計算行列式值 det(3 AT ) + det( A-1 ) = , c = ? (A) 18 (B) 28 (C) 244 (D) 234
7 假設 A 為 n✖n 矩陣,下列那一個敘述不等效(equivalent)於其他敘述? (A) A 可被正交對角化(orthogonally diagonalizable) (B) A 為對稱(symmetric)矩陣 (C)可為 A 找到或建構 n 個正交規範特徵向量(orthonormal eigenvectors) (D) A 的行列式值 det A =±1
8 下列子集合何者為 R3 的子空間(subspace)? (A) {( a, b, a + 2b) | a, b R}(B) {(0, a, a 2 ) | a R} (C) {( a + 1, a, 0) | aR} (D){( a, b,1) | a, b R}
9 定義 i =,複變數 z = x + iy 與其共軛複數= x - iy 。下列何者在整個複數平面皆為可解析 (analytic)? (A) f ( z) =(B) f ( z ) = ey (cos x + i sin x) (C) f ( z ) = x2 + y2 + 2ixy (D) f ( z ) = ex (cos y + i sin y)
10 定義 i =,假設方程式 z2 - z + 1 + i = 0 的兩個解為 z1 與 z2 且 |z1|> |z2| ,則下列何者正確? (A) z1 + z2 = 1 + 2i (B) z1 - z2 = 1 - 2i (C) | z1| = 1 (D) | z2| =
11,且 c 為|z| = 3 逆時鐘轉之封閉路徑,請決定 之值為何?(A) 4π i (B) - 4π i (C) 6π i (D) - 6π i
12 請利用複數積分決定 之值為何?(A) (B) (C) (D)
14 給定微分方程 (4 - y 2 ) = ,當初始值 ( x0 , y ( x0 )) 落在下列那一個 xy 平面區間時,該微分方程可能不會有唯一解(unique solution)? (A) xR , -2< y < 2 (B) x R , y < -2 (C) x R , y > -2 (D) x R , -1 < y < 1
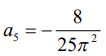
15 已知週期為 6 的函數 f (x) =|x|, -3 x<3 ,展開成 ,下列何者正確? (A) (B) (C) (D)
16 函數 之傅立葉轉換(Fourier transform)為下列何者?(A) (B) (C) (D)
17 下列那個函數(t 為獨立變數)無拉氏轉換(Laplace transform)?(A) (B) (C) (D)
20 設 X、Y 及 Z 為三個隨機變數,且聯合機率密度函數為請決定 ,其他 X≥ 3Y≥ 5Z 的機率為何? (A) (B) (C) (D)
(三)解 。(7 分)
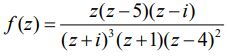
三、請利用留數(residue)計算 。(10 分)