所屬科目:三級/三等◆流體力學與工程力學
(一)利用因次分析(dimensional analysis),試求沉降速度 V 與前述各參數 [亦即μ,D,(ρb - ρl)g]之關係式。(15 分)
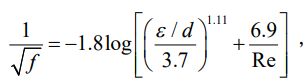
二、如圖 1 所示,今有一圓形截面管,其長度 L = 1.2 m,直徑 d = 0.003 m, 內壁粗糙度(equivalent roughness)ε = 0.045 mm,同時水從一自由液面高 度 H 恆定且直徑 D = 0.172 m 之容器經此圓管排出。假設圓管入口區之次要損失(minor loss)可以忽略,且管內截面平均流速 V = 2 m/s,試求容器內自由液面相對於圓管中心線之高度 H。提示:水之運動黏滯係數 v = 1.12 × 10-6 m2/s,同時管流摩擦因子(friction factor)f 可利用下式計算:式中 Re 為雷諾數(Reynolds number)。(15 分)
三、如圖 2 所示,一根四分之一圓之懸臂梁外側面承受均勻壓力負載 p,壓 力 p 以單位弧長所受的力表示。試計算該懸臂梁固定支撐點(fixed support)A 承受的正向力 NA、剪力VA及彎曲力矩 MA 。(15 分)
(一)丁字形角鐵質心距及對 A 點的轉動慣量(moment of inertia of mass)。(10 分)
(二)當θ =90° 時,銷支承 A 施予丁字形角鐵的水平力及鉛垂力各是多少? (15 分)
(二)兩圓柱體受重力壓縮後的長度分別減少 △1 與 △2 = ?(15 分)(提示:單軸應力、變形關係與 u 為單軸應力、應變及位移。)