所屬科目:泉勝◆基本電學(下冊)
1.電源電壓與電源電流的比值稱為阻抗。(A)O(B)X
2.下圖黃色波形是某元件的 v(t),藍色是 i(t),則此元件純電阻。(A)O(B)X
3.純電阻交流電路,電流大小與輸入電壓成正比,與 R 成反比,與頻率無關。(A)O(B)X
4.下圖黃色波形的 volds/div=2V,則 Vm=5.6V,Vrms=4V。(A)O(B)X
5.下圖黃色波形的 time/div=200us,則 T=5ms,f=5kHz。(A)O(B)X
6.下圖是純電阻電路,黃色波形是 vr(t),volds/div=2V,藍色波形是 i(t),volds/div=5mV,則 Z=1kΩ。(A)O(B)X
7.已知電壓源 v(t)=20sin(200t+600 )V,則 ω=200rad/s。(A)O(B)X
8.已知電壓源 v(t)=20sin(200t+600)V,則 f≒32Hz。(A)O(B)X
9.已知電壓源 v1(t)=20sin(200t+600)V,則此波形超前 v2(t)=202sin(200t)V 600,其圖形在v2(t)=20sin(200t)V 左邊。(A)O(B)X
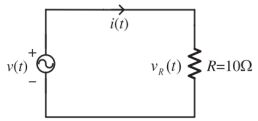
10.如圖所示的純電阻交流電路,已知電壓源 v(t)=20sin(200t+600)V,R=10Ω,則= 20∠600V。(A)O(B)X
11.如圖所示的純電阻交流電路,已知電壓源 v(t)=20sin(200t+600 )V,R=10Ω,則 vR(t)=2sin(200t+600 )V。(A)O(B)X
12.如圖所示的純電阻交流電路,已知電壓源 v(t)=20sin(200t+600 )V,R=10Ω,則= 20∠600V。(A)O(B)X
13.如圖所示的純電阻交流電路,已知電壓源 v(t)=20sin(200t+600 )V,R=10Ω,則= 2∠600A。(A)O(B)X
14.如圖所示的純電阻交流電路,已知電壓源 v(t)=20sin(200t+600)V,R=10Ω,則i(t)=2sin(200t+600)A。
(A)O(B)X
15.下圖黃色波形是某元件的 v(t),藍色是 i(t),電流超前電壓 900,所以此元件純電容。(A)O(B)X
16.下圖是純電容電路,黃色波形是 vC(t),volds/div=2V,藍色波形是 i(t),volds/div=10mV,則 Z≒180Ω。
17.純電容電容抗 Xc 與角速度 ω、電容量 C 的乘積成反比,關係是。(A)O(B)X
18.純電容電容抗 Xc,會因為角速度 ω 或 f 上升,而變小。(A)O(B)X
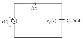
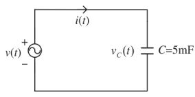
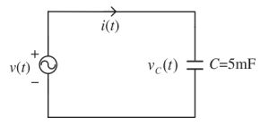
19.純電容電容抗,包含大小與角度,所以以數學式表示如下:(A)O(B)X
20.如圖所示的純電容交流電路,已知電壓源 v(t)=20sin(100t)V,C=5mF,則= 2∠900Ω。(A)O(B)X
21.如圖所示的純電容交流電路,已知電壓源 v(t)=20sin(100t)V,C=5mF,則Xc = 2Ω。(A)O(B)X
22.如圖所示的純電容交流電路,已知電壓源 v(t)=20sin(100t)V,C=5mF,則= 10∠900A。(A)O(B)X
23.如圖所示的純電容交流電路,已知電壓源 v(t)=20sin(100t)V,C=5mF,若將頻率調高,則電流變小。(A)O(B)X
24.如圖所示的純電容交流電路,已知電壓源 v(t)=20sin(100t)V,C=5mF,若將頻率調高,則電流角度變大。(A)O(B)X
25.如圖所示的純電容交流電路,已知電壓源v(t)=20sin(100t)V,C=5mF,則i(t)=10sin(100t-900)A。(A)O(B)X
26.如圖所示的純電容交流電路,已知 i(t)=20sin(100t+100)A,C=10mF,則= 1∠900Ω。(A)O(B)X
27.如圖所示的純電容交流電路,已知 i(t)=20sin(100t+100)A,C=10mF,則= 20∠ − 800Ω。(A)O(B)X
28.下圖黃色波形是某元件的 v(t),藍色是 i(t),電流落後電壓大約 720,所以此元件純電感。(A)O(B)X
29.下圖黃色波形是某元件的 v(t),藍色是 i(t),電流落後電壓大約 900。(A)O(B)X
30.電流落後電壓 900,與電壓超前電流 900,兩者說法相同。(A)O(B)X
31.下圖是純電感電路,黃色波形是 vC(t),volds/div=2V,藍色波形是 i(t),volds/div=5mV,則 Z≒666Ω。(A)O(B)X
32.純電感電感抗 XL與角速度 ω、電感量 L 的乘積成反比,關係是 。(A)O(B)X
33.純電感電感抗 XL,會因為角速度 ω 或 f 上升,而變小。(A)O(B)X
34.純電感電感抗,包含大小與角度,所以以數學式表示如下:(A)O(B)X
35.下圖是純電感交流電路,已知電壓源 v(t)=12sin(500t+300)V,L=6mH,則= 3∠ − 900Ω。(A)O(B)X
36.下圖是純電感交流電路,已知電壓源 v(t)=12sin(500t+300)V,L=6mH,則= 4∠ − 600Ω。(A)O(B)X
37.下圖是純電感交流電路,已知電壓源 v(t)=12sin(500t+300 )V,L=6mH,若將頻率調高,則 XL變 大。(A)O(B)X
38.下圖是純電感交流電路,已知電壓源 v(t)=12sin(500t+300)V,L=6mH,若將頻率調高,則 I 變大。(A)O(B)X
39.如圖所示的純電感交流電路,已知 i(t)=4sin(800t-300 )A,L=5mH,則= 4∠900Ω。(A)O(B)X
40.如圖所示的純電感交流電路,已知 i(t)=4sin(800t-300)A,L=5mH,則 = 16∠600V。(A)O(B)X
1.某一電路只連接單一元件,其 v(t)=6sin(600t+600) V,i(t)=2sin(600t-300)A,試求此單一元件的名稱?(A) 純電組 (B) 純電感(C) 純電容
2.某一純電感電路,其 v(t)=6sin(600t+600) V,i(t)=2sin(600t-300)A,則電感是多少?(A)5uH(B)1mH(C)3mH(D)5mH
3.某電路的電源電壓 v(t) 與電流 i(t) 週期波形如圖 (5) 所示,則該電路負載為? (A) 純電阻 (B) 純電感 (C) 純電容 (D) 阻抗
4.如圖(6)所示電路,若 v(t) = 121.2 cos(1000t)V, i(t)=12.12sin(1000t)A, 則下列何者正確? (A) Z為電阻,其值為10Ω (B) Z為電容,其值為100µF (C) Z為電感,其值為10mH (D) Z為電容,其值為10µF