(三)令 X 1 , X 2 ,..., X n 為抽樣自下列各種機率質量函數 ( probability mass function)或機率密度函數(probability density function)之 一組隨機樣本,請求出在下列每一種情況下參數 的最大概似估計式(maximum likelihood estimator)
。
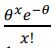
1. f( x; θ)=
,x = 0, 1, 2, ⋯,0 ≤ < ∞,其中 (0; 0) = 1。 !
2. f( x; θ)=
, 0< x< θ。
3. f( x; θ)=
,−∞ < x< ∞,−∞ < θ< ∞。
4. f( x; θ)=
,0 < x< ∞,0 < θ< ∞。
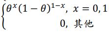
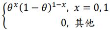
5.f( x; θ)=
,0 ≤ θ≤ 1。
6. f( x; θ)=
,0 ≤θ ≤
。