所屬科目:研究所、轉學考(插大)-微積分
1. Find .
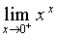
2. Find .
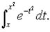
3. Let F(x) = Evaluate F'(1).
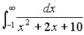
4. Evaluate .
5. Evaluate .
6. Let F = (yz) i + (xz) j + (xy) k, Find div (curl (F)).
7. Find the minimum value of the function f(x) = 2x³ + 3x² - 36x + 6 on the whole real line.
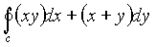
8. Evaluate where C is the triangle with vertices (0,0),(2,0) and (0,1).
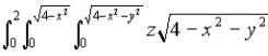
9. Evaluate dzdydx.
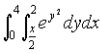
10. Evaluate the integral .
11. Find the volume of the solid that is bounded above by the sphere ρ=1 and below by the cone ϕ=
12. Find the saddle points of the function xy - 2x - y + 7.
第二部份:計算及證明題1. Prove that if f is differentiable on (a, b), then f is continuous on (a, b).
2. Suppose that the function y(x) satisfies the following differential equation: = y(x)(1 - y(x)). If y(0) =, then find y(2). (Hint: separation of variables)
3. Use Lagrange Multiplier method to calculate the maximum value of x + 2y subject to the condition that ≤ 1.
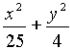
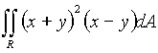
4. Evaluate , where R is the region bounded by x + y = 0, x + y = 1, x - y = -1, and x - y = 2.