所屬科目:研究所、轉學考(插大)-微積分
1. (10%) 考慮以「o」表示「是」、「×」表示「否」,填入下表:
(a) 令f(x) = x5 + 2x3 + 2x, 且 f-1(x) 代表 f(x) 之反函數, 求 (f-1)'(-5)。
(b) 已知2y2 = 28 - x2 + xy, 求在 (x,y) = (-2,-4) 之值。
(c) 求積分dx。
(d) 求積分∫x cos x dx.
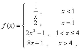
(a) 畫出函數f(x)之圖形。
(b) 求 F(x)之臨界點 (critical point), 及說明在每一臨界點上函數 F(x)是否有局部極大值、局部極小值、反曲點 (local maximum、local minimum、inflection point)。
(c) 求出F(x) 在x=2時的切線。
(d) 求出以y = f(x)在x∈ [0,1] 之圖形與 x 軸及直線x=1夾區域, 繞著y- 軸旋轉所得之旋轉體體積。
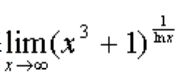
4. (10%) 求極限.
5. (10%) 試將ln(2 + x) 展成x的冪級數。此展式對哪些x成立?
6. (10%) 試求曲面 x3 + y3 = 3xyz 在點(1, 2,) 的切面方程式。
7. (10%) 設 Ω 為 xy 平面上以原點為中心,1 為半徑的圓盤,求函數 f(x, y) = e1-x²-y²在 Ω 上的二重積分。
8. (10%) 設 T 為球面 x² + y² + z² = 4 和錐面 z² = x² + y² 所圍成的球頂錐體,試求其體積。