阿摩線上測驗
登入
首頁
>
國中會考基測◆數學科
> 90年 - 90-2 國中基測:數學科#24756
90年 - 90-2 國中基測:數學科#24756
科目:
國中會考基測◆數學科 |
年份:
90年 |
選擇題數:
31 |
申論題數:
0
試卷資訊
所屬科目:
國中會考基測◆數學科
選擇題 (31)
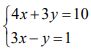
1. 已知二元一次聯立方程式
的解為x=a,y=b,則a+b=? (A) 3 (B) -1 (C)
(D)
2. 將4x2-ax+9因式分解,可得(2x-b)2的形式。若a 為正整數,則2a-b=? (A) 9 (B) 15 (C) 21 (D) 27
3. 化簡4÷
×(-2)+
之後,可得下列哪一個結果? (A) -31 (B) -23 (C) 11 (D) 43
4. 如圖(一),
是圓O的直徑,且∠COD>∠AOD,則下列哪一種幾何圖形沒有出現在圖形 (A)矩形 (B)直角三角形 (C)等腰三角形 (D)等腰直角三角形
5. △ABC中,已知∠A=70˚,∠B=40˚,則下列四個選項中,哪一個是正確的? (A)
(B)
(C)
(D)
6. 下列哪一個選項中的數列是等差數列也是等比數列? (A)
、1、2、4、6、8、10 (B) 1、2、3、4、5、6、7、8 (C) 2、2、2、2、2、2、2、2 (D) 0、1、0、1、0、1、0、1
7. 已知直角三角形中,兩股長的平方和等於斜邊長的平方。若一直角三角形的兩股長各為2公分及3公分,且斜邊長為a公分,則下列哪一個選項是正確的? (A) 3.0<a<3.5 (B) 3.5<a<4.0 (C) 4.0<a<4.5 (D) 4.5<a<5.0
8. 某地區山泉水的售價,每逢假日以特價出售,如圖(二)。若阿惠假日到此地區遊玩,用販賣的水桶裝6公升的山泉水回家飲用,共花了330元,則山泉水的特價每公升為多少元? (A) 35 (B) 45 (C) 55 (D) 65
9. 如圖(三),已知△PQR,則下列四個三角形中,哪一個與△PQR相似? (A)
(B)
(C)
(D)
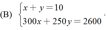
10. 羽毛球的售價分成兩種:比賽用球每打300元,練習用球每打250元。創創共買了10打羽毛球,結帳時店員將兩種價目看反了,結果使得創創多付了100元。設比賽用球買x打,練習用球買y打,則下列哪一個二元一次方程組可用來表示題目中的數量關係? (A)
(B)
(C)
(D)
11. 林家三姊妹,每月零用錢的總和為7800元。已知大姊零用錢的2倍是二姊零用錢的3倍,二姊零用錢的3倍是小妹零用錢的4倍。依據題意,請問大姊每月的零用錢有多少元? (A) 1200 (B) 1800 (C) 3600 (D) 4200
12. 如圖(四),玉山在坐標平面上的位置為(121,23.5);已知x軸的正向指向東方,y軸的正向指向北方,且每個方格的邊長均為1個單位。如果飛機從玉山上空向西飛行0.5個單位,再向北飛行1個單位,到達P點上空,則P點最接近下列哪一個位置? (A)(121.5,24.5) (B)(120.5,24.5) (C)(122,24) (D)(122,23)
13. 有三個二次函數,甲:y=x2,乙:y=x2+2x-1,丙:y=-x2,下列哪一個敘述是正確的? (A)甲的圖形經適當的平行移動後,可與乙的圖形重疊在一起 (B)甲的圖形經適當的平行移動後,可與丙的圖形重疊在一起 (C)乙的圖形經適當的平行移動後,可與丙的圖形重疊在一起 (D)甲、乙、丙三個圖形經適當的平行移動後,都可重疊在一起
14. 在△ABC中,如果∠B的外角是120∘,且3∠C=2∠A,試求∠A=? (A) 36∘ (B) 48∘ (C) 60∘ (D) 72∘
15. 某生將一正整數a分解成質因數相乘,計算過程如右。則下列哪一個選項是正確的?
(A) b=2
2
× 3
2
× 5
2
× 7 (B) c=3
2
× 5
2
× 7 (C) e=3
2
×5
2
× 7 (D) f=5 × 7
16. 用等長的吸管依次向右排出相連的三角形,如圖(五)。請問排第十個圖形需要幾根吸管? (A) 19 (B) 21 (C) 23 (D) 30
17. 如圖(六),守守將邊長為3a的正方形沿著虛線剪成二塊正方形及二塊長方形,如果拿掉邊長為2b的小正方形後,再將剩下的三塊拼成一塊矩形,則此塊矩形較長的邊長為何? (A) 3a+2b (B) 3a+4b (C) 6a+2b (D) 6a+4b
18. 如圖(七),平面上三條直線L1、L2、L3分別切圓O於A、B、C三點,且L1與L2分別交L3於D、E兩點。若∠ADC=60∘,則下列哪一個選項是正確的? (A)∠1+∠2=180∘ (B)∠3+∠4=180∘ (C)∠2+∠4=180∘ (D)∠1+∠5=180∘
19. 小傑用長為x公分的竹筷去量一張長方形的紙,發現紙的長度比竹筷的兩倍長少1公分,寬比竹筷長多2公分。已知紙的面積為3000平方公分,依題意下列哪一個一元二次方程式是正確的? (A)(x-2)(2x+1)=3000 (B)(x+2)(2x-1)+3000=0 (C) 2x2-3x=3002 (D) 2x2+3x-3002=0
20. 下列各圖皆由相同大小的正方形所構成,請問下列哪一個選項是正方體的展開圖? (A)
(B)
(C)
(D)
21. 如圖(八),直線AP切圓O於A點,且圓O的半徑長為6,
=16。若有一直線L與圓心距離=
,則直線L與圓O有幾個交點? (A) 2 (B) 1 (C) 0 (D)無法確定
22. 如圖(九),小智丟垃圾的路徑是一個二次函數y=-
x2+2x+c的圖形。已知小智是在此二次函數圖形的頂點(即B點)將垃圾丟出,且從A(0,1)點進入筒內。若B點的坐標為(a,b),則b=? (A) 3 (B) 4 (C) 5 (D) 6
23. 如圖(十),△ABC中,∠BAC=90∘,
=3,
=4,以A為圓心作一圓弧,切
於E點,且分別交
於D、F 兩點。請問此圖形灰色部分的面積為多少? (A)
π (B)
π (C)
π (D)
π
24. 從一個凸七邊形其中的一個頂點,最多可作出a條對角線;這些對角線將此七邊形分割成b個三角形;再利用每一個三角形的內角和為180∘,可以求得這個七邊形的內角和為c度。請問下列哪一個選項是正確的? (A) a=5 (B) b=5 (C) c=1080 (D) a × 180=c
25. 坐標平面上直線4x+3y=12交x軸於A點,交y軸於B點。若O為原點,I為△AOB之內心,則△AIB的面積=? (A) 2 (B)
(C) 4 (D) 5
26. 如圖(十一),平行四邊形ABCD中,
,直線AF交
於G點,交直線BC於E點。若∠A 120∘,且F是
的中點,則下列哪一個選項中的兩個三角形不會相似? (A) △ABG,△FDG (B) △AGD,△EGB (C) △AFD,△EAB (D) △FCE,△FDG
27. 如圖(十二),在坐標平面上有A、B、C三點,O是原點,
且
。今想在第一象限內找一點D,使得D到x軸的距離與D到y軸的距離相等,且
,則D點要用下列何種方法求得? (A)
作 中垂線與
中垂線的交點 (B)
作 中垂線與∠BAO平分線的交點 (C)
作 中垂線與∠COA平分線的交點 (D)作∠COA平分線與∠BAO平分線的交點
28. 如圖(十三),在某條公路上,從里程數8公尺開始到4000公尺為止,每隔8公尺將樹與燈按圖中所示之規則設立:在里程數8公尺處種一棵樹,在16公尺處立一盞燈,在24公尺處種一棵樹…,且每兩盞燈之間的距離均相等。依此規則,下列哪一個選項是里程數800公尺~824公尺之間,樹與燈的正確排列順序?
(A)
(B)
(C)
(D)
29. 設直線L1為方程式y=bx-1的圖形,則L1最可能是下列哪一個圖形? (A)
(B)
(C)
(D)
30. 設直線L2為方程式y=2x+2b的圖形,且交x、y軸於C、D兩點;若L和x、y軸所形成的△OAB面積為7平方單位,則L2和x、y軸所形成的△OCD面積是多少平方單位? (A) 7 (B) 14 (C) 21 (D) 28
31. 如圖(十五), 是圓O的直徑,試問下列四個尺規作圖的方法中,哪一個無法確定作出的四邊形ABCD為矩形?
(A)如圖(十六),任意再作一條直徑
,連接
(B)如圖(十七),分別在上下兩個半圓上取B、D兩點,使得∠DAC=∠BAC,連接
(C)如圖(十八),分別在上下兩個半圓上取B、D兩點,使得弧AB=弧CD,連接
(D)如圖(十九),分別在上下兩個半圓上取B、D兩點,使得
,連接
參考公式:
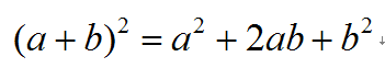
和的平方公式:
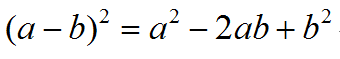
差的平方公式:
平方差的公式:
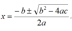
一元二次方程式
的解為
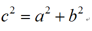
直角三角形ABC,兩股長為a、b,斜邊長為c,則
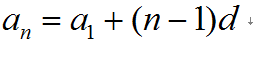
若一個等差數列的首項為
,公差為d,第n項為 ,則
其等差級數和為
,則
若圓的半徑為r,圓周率為π,則圓面積=
;圓周長=2
申論題 (0)
相關試卷
114年 - 114 國中教育會考:數學#127076
114年 · #127076
113年 - 113 張進通許世賢教育文教基金會_雲嘉南區國中數學能力競試試題:數學(二)#124230
113年 · #124230
113年 - 113 張進通許世賢教育文教基金會_雲嘉南區國中數學能力競試試題:數學#124229
113年 · #124229
113年 - 113 國中教育會考 :數學#119879
113年 · #119879
112年 - 112 張進通許世賢教育文教基金會_雲嘉南區國中數學能力競試試題:數學一#124231
112年 · #124231
112年 - 112 國中教育會考(大陸考場):數學#116361
112年 · #116361
112年 - 112 國中教育會考:數學#114306
112年 · #114306
111年 - 111 國中教育會考(參考試題):數學科#113403
111年 · #113403
111年 - 111 國中教育會考(補考):數學科#113398
111年 · #113398
111年 - 111 國中教育會考:數學#108009
111年 · #108009