所屬科目:研究所、轉學考(插大)-微積分
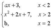
1.Let f(x) = be a continuous function on all real numbers, then ab=_________
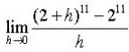
2.=_________
3. =_________
4. Let f(x)=, then =_________
5. Let y=mx+b be the equation for the line tangent to the graph of the equation x2y2=16 at the point (2, 2). Then m+b=_________
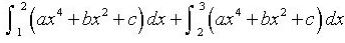
6. Let F be a function such that F(1)=10,F(3)=40 and F'(x)=ax4+bx2+c, where a, b, and c are constants. Then =_________
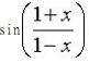
7. If y=, then =_________
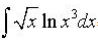
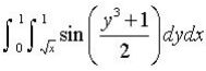
8. =_________
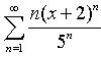
9. The interval of convergence of the power series is _________
10.=_________
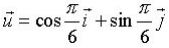
11.If f(x,y)=x³-3xy+4y² and , then the directional derivative =_________
12.The global minimum value of f(x,y)=2x²+3y²-4x+6 on the region R= is _________
1. If is a vector-valued function and let c be a constant. Show that if is differentiableon come interai I and if =0 for all t ∈ I be I then are orthognal for all t ∈ I .
2. Let f be differentiable on an open interval I. Use the mean value theorem to show that iff'(x)>0 for all real x in I, then f increases on I.