所屬科目:研究所、轉學考(插大)-微積分
1.The upper sum = __(A)__. and the lower sum = __(B)__ if f(x) := |x|,x ∈ [-2,1] and P is the partition of [-2,1].
2.=__(C)__
3.=__(D)__
4.=__(E)__ for x> 0.
5.The radius of convergence of the power series =__(F)__
7.=__(H)__
(a) If f(x) :=x3 - 2x + 2, x ∈ , then f has a zero between -2 and 0.
(b) Consider two series. Suppose ≥ 0 and . If converges, then converges.
(c) If f : (-1,1) → is continuous at x = 0, then f is differentiable at x = 0.
(d) If f : (0,∞)→ (0,∞) is continuous and increasing on (0,∞); then f(x)=∞.
(e) If f : (0,∞) → is differentiable,i.e., f'(x) exists, , then f'(x) is continuous on .
(f) does not exist.
(g) The series converges.
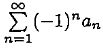
(h) If converges, then converges.
(i) If converges, then converges.
(j) If f : [a,b] → is not continuous, then f(x)dx does not exist.
(1) Evaluate .
(2) Find at the point (-1,0) if 6x4+ 3x2y - 20xy2 - 3y3 = 6.
(3) Find the gradient vector of the function f(x,y) := . Then find the equation of the tangent plane at (2,0).