阿摩線上測驗
登入
首頁
>
流體力學與水文學
> 94年 - 94 專技高考_環境工程技師:流體力學與水文學 #39132
94年 - 94 專技高考_環境工程技師:流體力學與水文學 #39132
科目:
流體力學與水文學 |
年份:
94年 |
選擇題數:
0 |
申論題數:
9
試卷資訊
所屬科目:
流體力學與水文學
選擇題 (0)
申論題 (9)
⑴u =x 2cos y ;and v =-2x sin y
⑵u = x + 2;and v = 1− y
⑶u = xyt; v = x
3
− y
2
t/2
⑷u = ln x + y ; v = xy − y / x
⑸u = x + y;v = x − y
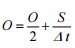
【已刪除】二、下圖所示之水桶其桶徑 D = 0.5m,假設在水桶的右下端有一出水口,出水口的直徑 d = 5cm,水可自由流出。若桶內的水位高 H = 2m,出水口處高 h = 0.2m,問桶內 的水位降至 0.3m 時,共需多少時間(秒)?(20 分)
三、若要把一個蓄水庫的水,透過管線和抽水機,送到附近山丘頂的住戶。若水庫蓄水 頂部高程為 110.0m,住戶的高程為 150.2m,管線的直徑為 0.5m、長度為 975m、摩 擦係數(f)為 0.018,抽水機的功率為 150kW、效率為 70%。假若不考慮次要損失 (minor losses),則管線的出水流量會是多少(m
3
/s)?(20 分)
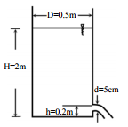
【已刪除】四、某一水庫,其容積(S)和水庫出流量(O)間的關係為
,式中∆ t = 2小 時,現知水庫的初始容積為 360,000 m
3
,初始出流量為零。若水庫的進流歷線如下 表所示,問水庫的出流歷線為何?(20 分)
【已刪除】五、有一集水區面積 A 為 91.95 ha,其地表逕流係數 C = 0.59,地表平均坡度 S 為 0.0324 (m/m),水區最上游至最下游的距離 L 為 2804m。請用下列 25 年的降雨強度- 延時-頻率關係及合理公式,計算尖峰流量 Q(cms)。(20 分)
相關試卷
114年 - 114 專技高考_環境工程技師:流體力學與水文學#133719
114年 · #133719
113年 - 113 專技高考_環境工程技師:流體力學與水文學#123920
113年 · #123920
112年 - 112 專技高考_環境工程技師:流體力學與水文學#117659
112年 · #117659
111年 - 111 專技高考_環境工程技師:流體力學與水文學#111924
111年 · #111924
110年 - 110 專技高考_環境工程技師:流體力學與水文學#104182
110年 · #104182
109年 - 109 專技高考_環境工程技師:流體力學與水文學#93205
109年 · #93205
108年 - 108 專技高考_環境工程技師:流體力學與水文學#80810
108年 · #80810
107年 - 107 專技高考_環境工程技師:流體力學與水文學#72893
107年 · #72893
106年 - 106 專技高考_環境工程技師:流體力學與水文學#66445
106年 · #66445
105年 - 105 專技高考_環境工程技師:流體力學與水文學#78789
105年 · #78789