所屬科目:研究所、轉學考(插大)-微積分
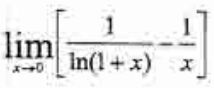
1. 求極限值= ___________。
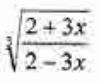
2. 求導數,y = =___________。
3. 求定積分dx =____________。
4. 求出兩曲線 r = 1 - cosθ 與 r = sinθ 之交點,並以直角座標表示 = ___________(可能不只一點)。
5. 求冪級數之收斂區間 = __________。
6. 求 f(x) 之泰勒級數展開式,f(x) = e-2x(x-1) 在 (x+1) 之冪次 =__________。
7. 求 f(x,y,z) = x²y + yz + z²x 之方向導數,其在點 (1,0,1) 上,朝向點 (1,3,0) =__________。
1. 證明 f(x) = x² - 2x + 1, -2 ≤ x ≤ 3,滿足均值定理之假設,並求定理結論指定之c值。
2. 求不定積分 ∫ ( x² (2x - 1) ) dx。
3. 一矩形盒其三面在座標面(xy, yz, zx 面)上,且其一頂點在第一八分區(the first octant)之拋物面 z = 4 - x² - y² 上,求此矩形盒之最大體積。
4. 求(x+y) dxdy,Ω是平行四邊形由 x - y = 0, x - y = π, x + 2y = 0, x + 2y = π,所圍成。
5. 畫出由曲線 y = x, y = 2 - x², 0 ≤ x ≤ 1. 圍成之區域,求出此區域之形心與此區域各別繞兩座標軸所產生之體積。