所屬科目:研究所、轉學考(插大)-微積分
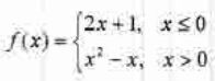
1. Prove: If f is the function defined by thendoes not exist. (10 points)
(a) Findfor y = (x3+ 1)(3x² + 2x - 1). (10 points)
(b) Find (). (10 points)
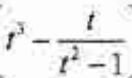
(c) Find,hint: sec²x - tan²x = 1. (10 points)
3. The number is a root of the equation x² - 3 = 0. Please estimateby applying the Newton-Raphson method to the functionf(x) = x² - 3 starting at x₁ = 2. Hint: the Newton-Raphson formula is. (10 points)
4. Find f to satisfy that f '(x) = 6x - 2, f'(1) = -5, and f '(1) = 3. (10 points)
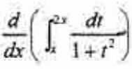
(a) Find . (10 points)
(b) Compute dx. (10 points)
(a) Calculate the angle between a and b. (5 points)
(b) Find proj,a . (5 points)
7. Find an equation f(x, y, z) = 0 for the plane that passes through the point P(-2, 3, 5) and is perpendicular to the line l with scalar parametric equations: x = -2 + t, y = 1 + 2t, z = 4. (10 points)