所屬科目:研究所、轉學考(插大)-微積分
2. Evaluate dx. (10 分)
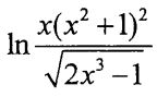
3. Differentiate f(x) = . (10 分)
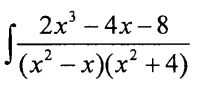
6. Evaluatedx. (15 分)
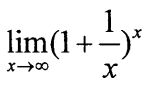
(a) ;
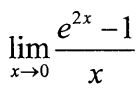
(b);
(c) ;
(d). (20 分)
8. Let R be the annular region lying between the two circles x² + y² = 1 and x² + y² = 5, as shown in Figure 1. Evaluate the integral (x² + y²) dA. (15 分)