所屬科目:研究所、轉學考(插大)-微積分
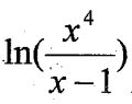
1. (15%) Sketch the graph of the function f(x) =.
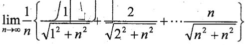
2. (15%) Find .[Hint: limit of Riemann sums]
3. (10%) Calculate ∫eˣcosx dx. Hint: cosxdx=dsinx & integration by parts
4. (10%) Find the area enclosed by the ellipse (x²/a²)+(y²/b²)=1.(Hint: cos²x=(1+cos2x)/2.)
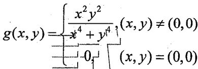
5. (10%) Let Show that g(x,y) does not exist.
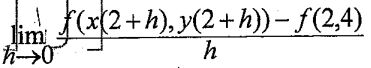
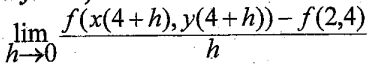
(a) (5%) Find giventhat x(t) = t and y(t) = t2. (These functions parameterize the parabola y=x2)
(b) (5%) Find giventhat x(t) =1/4(t+4) and y(t) = t. (These functions parametrize the line y=4x-4)
(c) (5%) Compute the directional derivative of f at (2,4) in the direction of i + 4j.
(d) (5%) Notice that i + 4j is a direction vector for the line y=4x-4 and this line is tangent to the parabola y=x2 at (2,4). Explain why the computations in ( a ), ( b ), and( c ) yield different values.
7. (10%) Show that the series converges on [-1,1).
8. (10%) Maximize f(x,y,z) = xyz subject to the side conditionx3 + y3+ z3 = 1, with x≥0, y≥0, z≥0.