阿摩線上測驗
登入
首頁
>
電路分析
> 97年 - 97 高等考試_二級_電子工程:電路分析#48931
97年 - 97 高等考試_二級_電子工程:電路分析#48931
科目:
電路分析 |
年份:
97年 |
選擇題數:
0 |
申論題數:
7
試卷資訊
所屬科目:
電路分析
選擇題 (0)
申論題 (7)
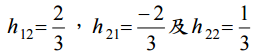
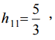
一、考慮一電路如下圖所示,若電路 A 的混合參數(hybrid parameters)為
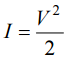
,非線性元件(NLE)之 I − V 特性為:
。試求通 過此非線性元件之電流 I 及兩端電壓 V 為何?(20 分)
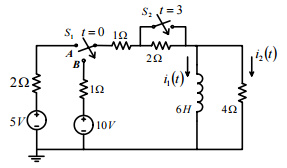
二、考慮一電路如下圖所示,在時間 t = 0 時已達穩態;電路開關 S
1
於 t = 0 時由位置 A 切 換 至 位 置 B , 而 開 關 S
2
於 t = 3 時 關 下 。 試 求 電 流 i
1
(t ) 及 i
2
(t ) , t ≥ 0 。 ( 假 設 e
−1
= 0.368 )(20 分)
⑴試寫出此電路的狀態方程式及輸出方程式,並以矩陣方程式表示之。(10 分)
⑵若所有初始條件(initial condition)設為零,定義一單輸入單輸出轉移函數(single Y (s) input single output transfer function)
,試求 H
1
( s) 為何?(10 分)
四、下圖電路中若輸入電壓 v
s
(t ) = 4 cos(1000 t ) ,則輸出電壓為 v
0
(t ) = 8 cos(1000 t + 135° ) (在穩態下),試求電阻 R 及電容 C 之值為何?(假設運算放大器為理想元件) (20 分)
⑴試利用網目電流分析(mesh current analysis)法,寫出電流 i
1
, i
2
及 i
3
之聯立方程 式。(10 分)
⑵試求 i
1
, i
2
, i
3
及 v
x
之值為何?(10 分)
相關試卷
114年 - 114 高等考試_二級_電子工程:電路分析#131585
114年 · #131585
113年 - 113 高等考試_二級_電子工程:電路分析#123077
113年 · #123077
112年 - 112 高等考試_二級_電子工程:電路分析#116739
112年 · #116739
111年 - 111 高等考試_二級_電子工程:電路分析#111029
111年 · #111029
110年 - 110 高等考試_二級_電子工程:電路分析#101936
110年 · #101936
109年 - 109 高等考試_二級_電子工程:電路分析#91508
109年 · #91508
107年 - 107 高等考試_二級_電子工程:電路分析#72461
107年 · #72461
103年 - 103 高等考試_二級_電子工程:電路分析#43107
103年 · #43107
102年 - 102 高等考試_二級_電子工程:電路分析#44000
102年 · #44000
99年 - 99 高等考試_二級_電子工程:電路分析#46290
99年 · #46290