所屬科目:研究所、轉學考(插大)-微積分
1. f(x) = 5x² + 2x + , 求 (a) f'(x) 與 (b) ∫f(x)dx 。
(a)
3. 畫出 f(x) =之圖形,並標示各重要特性,如定義域、截距、漸近線、對稱性、臨界點、極值、反曲點與凹性等。
(a) F(x) = ∫x²(3+2x²)⁴dx F(0) = 10 ,
(b) ∫(tan³θ - cot³θ)² dθ ( integral from 0 to π/4)
5. 求定積分ln(1+ x²)dx ( integral from 0 to 1)
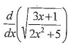
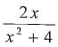
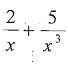
6. 求積分dx
7. 求展開 g(x) = ln(1+ 3x) 於 (x-2) 之冪級數,並指出收斂區間。
8. 求 f(x, y, z) = 3x - 2y + z 在球 x²+y²+z²=14 上之極大值。
9. 求 y² dxdydz , 其是在第一個卦限(octant) (x,y,z ≥ 0) 之四面體, 由座標平面與平面 2x+3y+z=6 所圍成。
10. 求(2x + y)dxdy , 其 Ω 是由曲線 x² - 2xy + y² + x + y = 0 與 x + y + 4 = 0 所圍成區域。