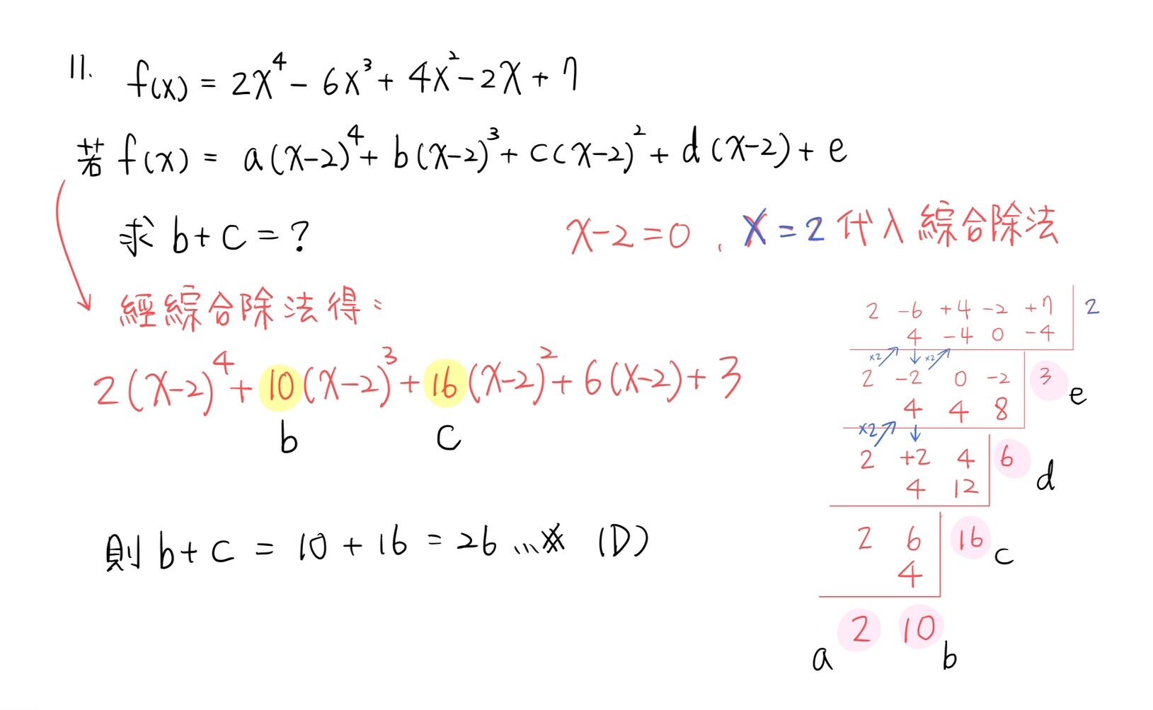
11. 設 f(x)=2x4–6x3 +4x2–2x +7,若 f(x)=a(x-2)4 +b(x-2)3 +c(x-2)2 +d(x-2)+e,求 b+c=
(A)22
(B) 9
(C) 12
(D) 26
答案:登入後查看
統計: A(6), B(2), C(3), D(11), E(0) #2999985
統計: A(6), B(2), C(3), D(11), E(0) #2999985
詳解 (共 1 筆)
#6049794

0
0