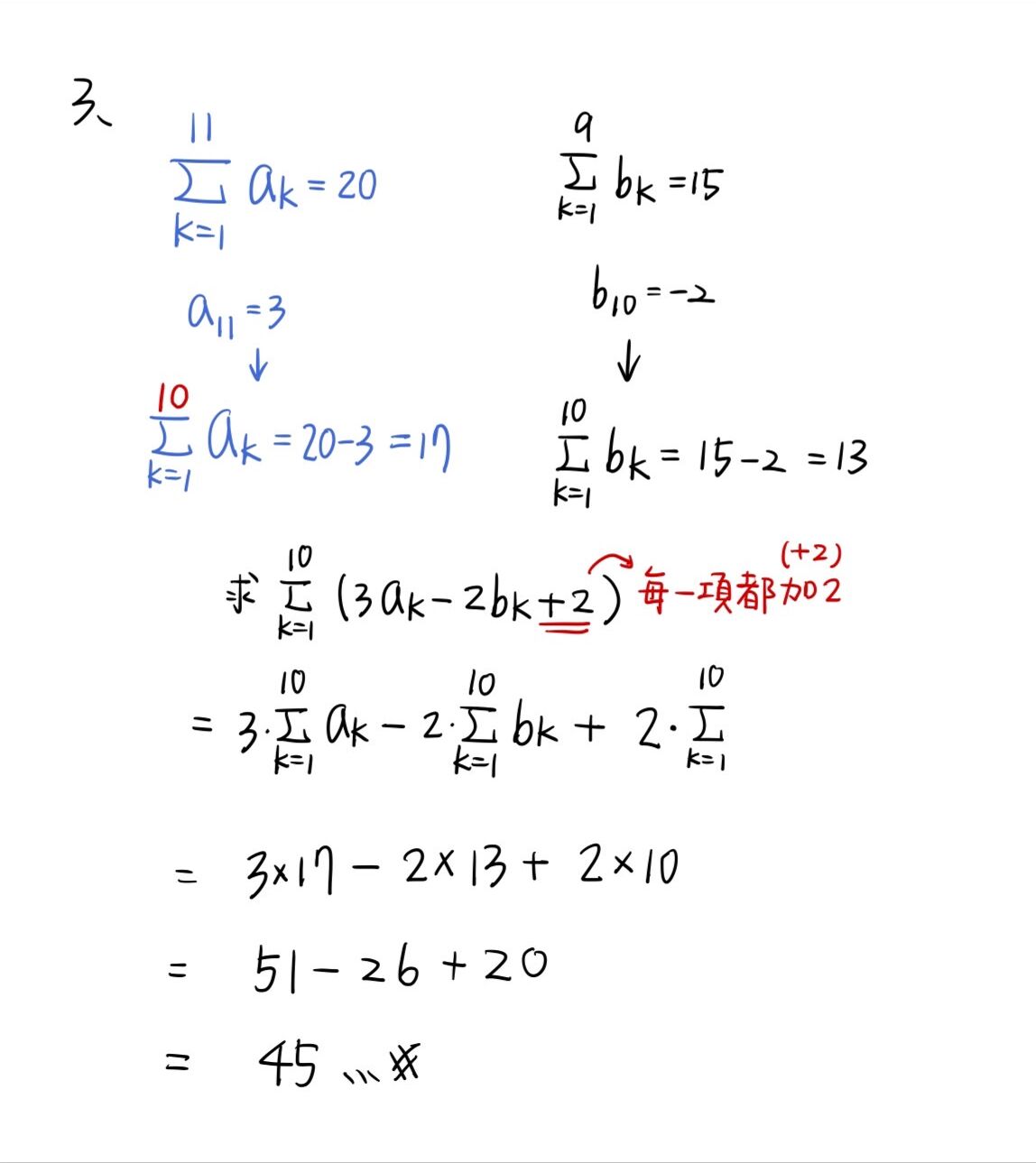
3.設
,則
= ?
(A)45
(B)47
(C)50
(D)52
答案:登入後查看
統計: A(10), B(6), C(6), D(5), E(0) #2999977
統計: A(10), B(6), C(6), D(5), E(0) #2999977
詳解 (共 1 筆)
#6049788

2
0