阿摩線上測驗
登入
首頁
>
高職轉學考-數學
>
111年 - 111 高雄區公立高級職業學校聯合招考轉學生試題:數學#110903
> 試題詳解
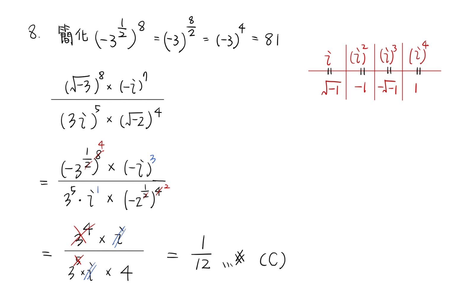
8. 化簡
=
(A)
(B)
(C)
(D)
答案:
登入後查看
統計:
A(4), B(7), C(10), D(4), E(0) #2999982
詳解 (共 1 筆)
xuan(113應屆台中/高雄上榜)
B1 · 2024/03/20
#6049856
2
0
相關試題
1.設一等比數列的第 5 項為 320,第 9 項為 20,則其第 3 項為何?(A)280 (B)-80 (C)80 (D)1280
#2999975
2.試求 ? (A) (B) (C) (D)
#2999976
3.設 ,則= ?(A)45 (B)47 (C)50 (D)52
#2999977
4.若函數f(x)=x2+6x-5在 x = α 時有最小值 β,則 α −β = (A) −11 (B) −15 (C) 11 (D) 17
#2999978
5.不等式x2+x+1 > 0 的解為何? (A)所有實數扣除一個點 (B)所有實數 (C)唯一解 (D) 無實數解
#2999979
6.設,則 A+B+C= (A)1 (B) (C) (D)
#2999980
7.設 ,則= (A)5 (B)4 (C) (D)6
#2999981
9. 設,則複數的實部為何? (A) (B) (C) 2 (D) -2
#2999983
10. 已知f(x)=, f (x) 除以 x +1 的餘式為何? (A)5 (B)6 (C)7 (D)8
#2999984
11. 設 f(x)=2x4–6x3 +4x2–2x +7,若 f(x)=a(x-2)4 +b(x-2)3 +c(x-2)2 +d(x-2)+e,求 b+c=(A)22 (B) 9 (C) 12(D) 26
#2999985
相關試卷
111年 - 111 高雄區公立高級職業學校聯合招考轉學生試題:數學#110903
2022 年 · #110903
110年 - 110 高雄區公立高級職業學校聯合招考轉學生考試:數學#110845
2021 年 · #110845
109年 - 109 高雄區公立高級職業學校聯合招考轉學生考試:數學#92183
2020 年 · #92183