阿摩線上測驗
登入
首頁
>
教甄◆電子科/資訊科/電機科/冷凍空調科/控制科/電機空調科
>
110年 - 110 教育部受託辦理公立高級中等學校教師甄選:電機科、機電科#99907
> 試題詳解
試題詳解
試卷:
110年 - 110 教育部受託辦理公立高級中等學校教師甄選:電機科、機電科#99907 |
科目:
教甄◆電子科/資訊科/電機科/冷凍空調科/控制科/電機空調科
試卷資訊
試卷名稱:
110年 - 110 教育部受託辦理公立高級中等學校教師甄選:電機科、機電科#99907
年份:
110年
科目:
教甄◆電子科/資訊科/電機科/冷凍空調科/控制科/電機空調科
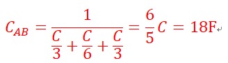
12. 如下圖所示,每個電容值皆為15F,則求CAB ?
(A)15F
(B)16F
(C)17F
(D)18F。
正確答案:
登入後查看