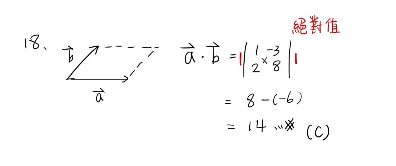
18.若平面上兩向量
,則由
為兩相鄰邊所圍成的平行四邊形面積為
(A)7
(B)2
(C)14
(D)1
答案:登入後查看
統計: A(5), B(2), C(12), D(3), E(0) #2999992
統計: A(5), B(2), C(12), D(3), E(0) #2999992
詳解 (共 1 筆)
#6049870

0
0