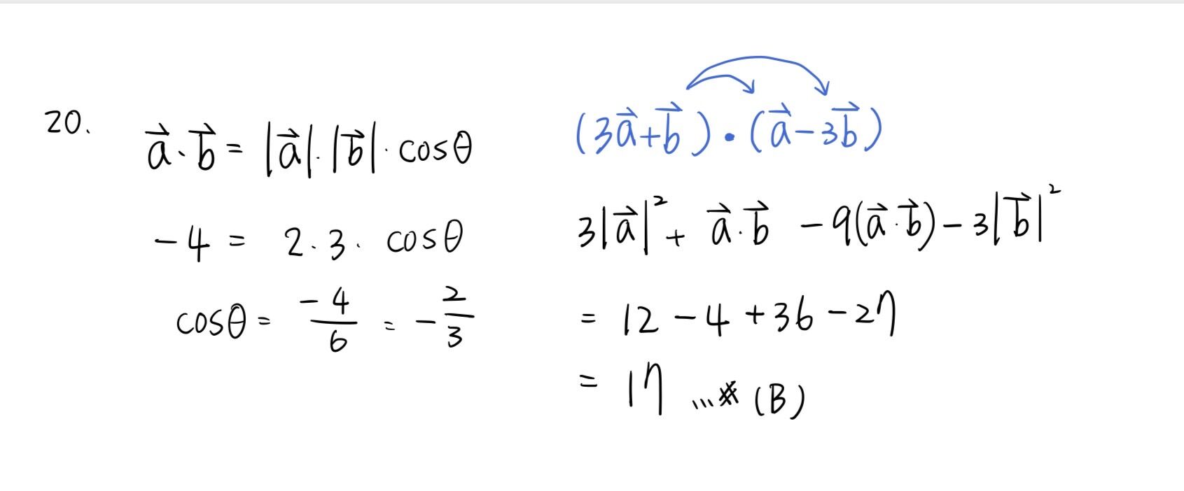
20.
,則
=?
(A) -47
(B)17
(C) -7
(D)71
答案:登入後查看
統計: A(9), B(11), C(2), D(1), E(0) #2999994
統計: A(9), B(11), C(2), D(1), E(0) #2999994
詳解 (共 1 筆)
#6049872

0
0