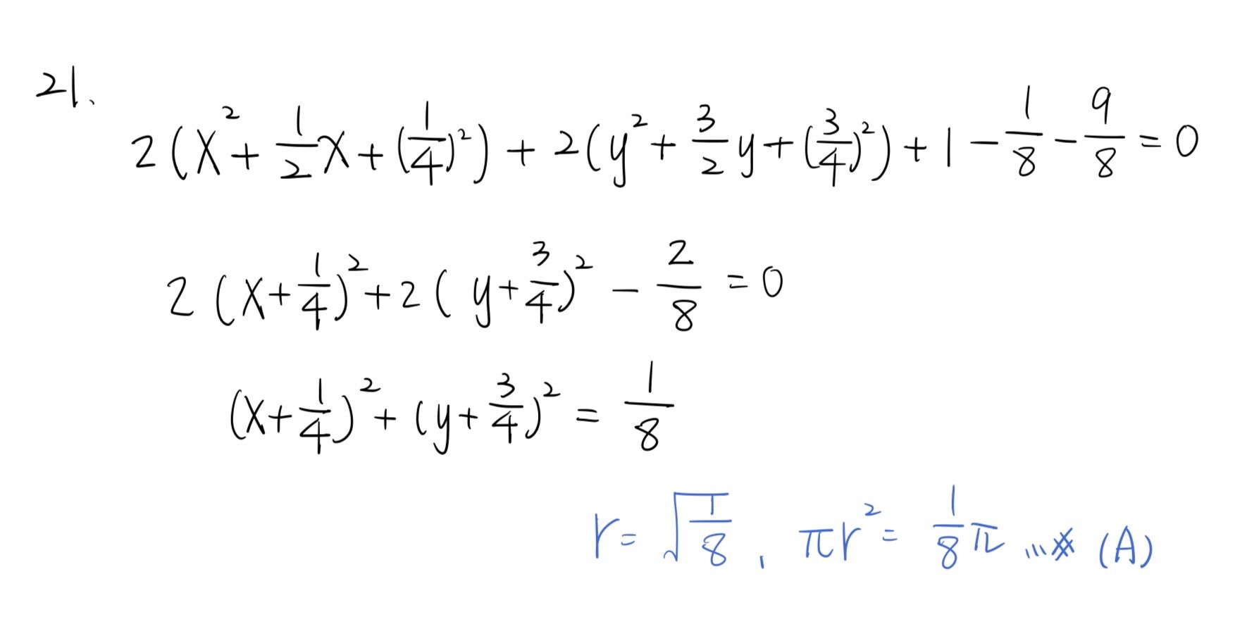
21.試求2x2+2y2+x+3y+1=0的圓面積為何?
(A)
(B)
(C)
(D)
答案:登入後查看
統計: A(6), B(4), C(7), D(6), E(0) #2999995
統計: A(6), B(4), C(7), D(6), E(0) #2999995
詳解 (共 1 筆)
#6049874

1
0