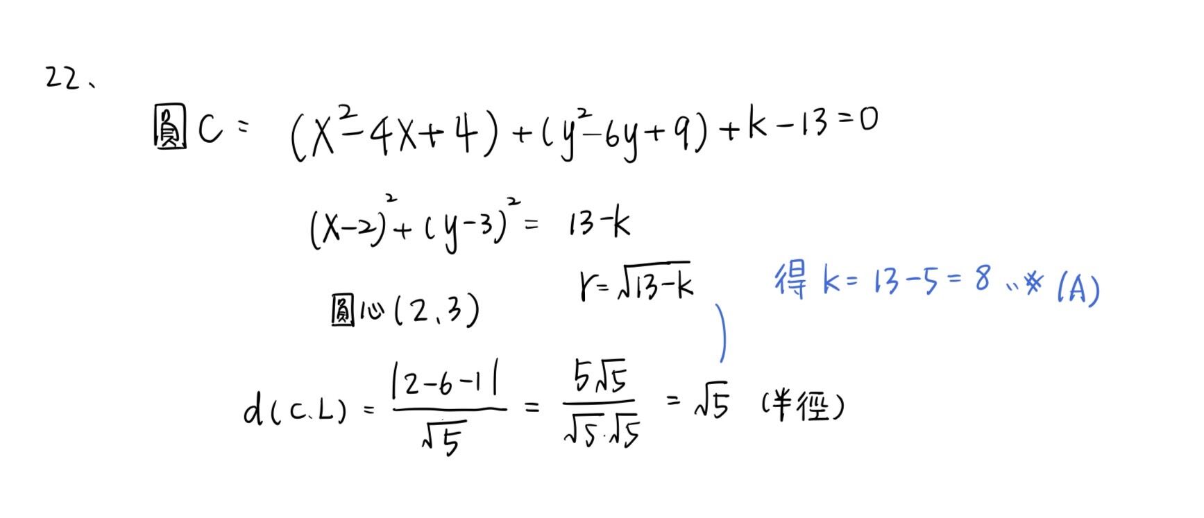
22.設圓C:x2+y2-4x-6y+k=0 與直線 L: x-2y-1=0 相切,則 k = ?
(A)8
(B) -8
(C)6
(D) -6
答案:登入後查看
統計: A(12), B(7), C(2), D(1), E(0) #2999996
統計: A(12), B(7), C(2), D(1), E(0) #2999996
詳解 (共 1 筆)
#6049876

0
0