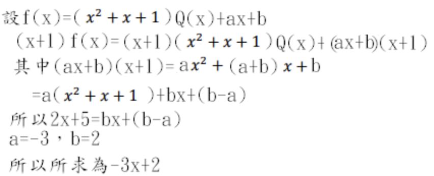
24.設 f(x)為一多項式函數,若(x+1)f(x)除以x2+x+1的餘式為2x+5,則f(x)除以x2+x+1的餘式為何?
(A)-3x+2
(B)1
(C)x+1
(D)2x+5
答案:登入後查看
統計: A(444), B(208), C(196), D(333), E(0) #1403143
統計: A(444), B(208), C(196), D(333), E(0) #1403143
詳解 (共 5 筆)
#1451541

160
2
#4120696

32
0
#1450595
設 f(x)為一多項式函數,若(x+1)"f"(x)
9
1
#6373814

所以答案是 -3x+2
1
0