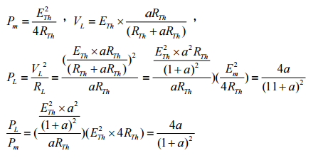
37.有一戴維寧等效電路其等效電阻為 Rth,當外加負載電阻為 Rth 的 n 倍時,則下列何者為此時負載上
之消耗功率與發生最大傳輸功率時之比值?
(A)2n:(1+n)2
(B) 4n:(1+n)2
(C) 2n:(2+n)2
(D) 4n:(2+n)2
答案:登入後查看
統計: A(31), B(138), C(26), D(24), E(0) #930605
統計: A(31), B(138), C(26), D(24), E(0) #930605
