51.下列有關morphine之敘述,何者錯誤?
(A)morphine較morphine-6-glucuronide具有對opioid receptor更高親和力
(B)heroin為morphine之前驅藥(prodrug)
(C)codeine可經CYP3A4催化代謝成norcodeine
(D)normorphine為morphine進行N-demethylation之產物
答案:登入後查看
統計: A(496), B(267), C(357), D(58), E(0) #3491719
統計: A(496), B(267), C(357), D(58), E(0) #3491719
詳解 (共 10 筆)
#6569456
Morphine

- N-demethylation:由 CYP3A4 經 N-demethylation 形成活性較低的 Normorphine
- 6-glucuronidation:經 6-glucuronidation 代謝成活性更強的 morphine-6-glucuronide(M6G),具有止痛效果⬆
- 3-glucuronidation:經 3-glucuronidation 代謝成無活性的morphine-3-glucuronide(M3G),使神經興奮
ㅤㅤ
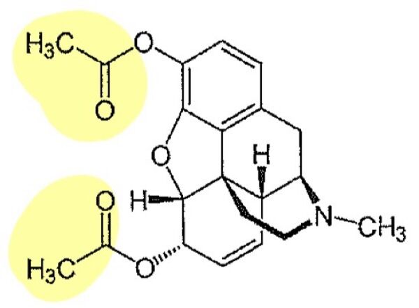
Heroin

- morphine C3-OH、C6-OH 改成 diacetyl
- 脂溶性上升,止痛能力更好
- 進入腦後代謝成 Morphine
ㅤㅤ
Codeine

- O-demethylation:CYP2D6 在 C3-OH 進行 O-demethylation,代謝成 Morphine
- N-demethylation:CYP3A4 代謝成無活性的 Norcodeine
ㅤㅤ
ㅤㅤ
49.下列有關morphine的敘述,何者錯誤?
(A) N-methyl以N-phenethyl取代,會增加鎮痛活性
(B) 14β導入OH基後,極性增加而不易穿過BBB,導致鎮痛活性降低
(C) 成癮性(addiction)與其在mu受體的作用相關
(D) 便秘的副作用不產生耐受性,長期使用需特別注意
答案:B
ㅤㅤ
54.下列何種阿片類藥物,結構中 C-14位置不具有β-OH 基?
(A) morphine
(B) naloxone
(C) naltrexone
(D) oxymorphone
答案:A
ㅤㅤ
33.下列有關鴉片類藥物作用之敘述,何者錯誤?
(A) naloxone是鴉片類藥物拮抗劑,可以用來治療急性鴉片中毒
(B) codeine具有良好的止咳效益,主要是codeine活化kappa接受器所致
(C) morphine的強效止痛效力,主要是morphine活化mu接受器所致
(D) fentanyl止痛效力約是morphine的100倍
答案:B
ㅤㅤ
69.下列何者是嗎啡的活性代謝物?
(A) morphine-3-methyl ether
(B) morphine-3-glucuronide
(C) morphine-3-sulfate
(D) morphine-6-glucuronide
答案:D
ㅤㅤ
51.下列何者不是morphine的主要代謝途徑?
(A) N-Demethylation
(B) O-Demethylation
(C) 3-Glucuronidation
(D) 6-Glucuronidation
答案:B
ㅤㅤ
14
0
#6715788
(A) morphine較morphine-6-glucuronide具有對opioid receptor更高親和力
我是背M6G很6所以很厲害 比morphine親和力高
12
0
#6611688
(A)
morphine-6-glucuronide對μ-opioid receptor的親和力高於morphine
(B)海洛因為二乙醯化嗎啡,本身無活性,須經水解兩次,產生活性代謝物嗎啡
(C)codeine被CYP3A4 N-去甲基化生成norcodeine
(D)normorphine是morphine經N-去甲基化的代謝物
圖片參考自阿摩學長姐
8
0