73.下列有關echinocandin類抗真菌藥之敘述,何者錯誤?
(A)結構具脂肽(lipopeptides)
(B)抑制β-1,3-glucan synthase
(C)阻止真菌細胞壁合成
(D)micafungin較安定,不易被酵素代謝
答案:登入後查看
統計: A(205), B(143), C(105), D(707), E(0) #3491741
統計: A(205), B(143), C(105), D(707), E(0) #3491741
詳解 (共 9 筆)
#6568681
[一次通過還願中,主要針對題目本身進行解析或提供考試時的解題想法]
[若解析不夠詳盡/侵害權益,煩請聯繫修正/刪除]
ㅤㅤ
(A) 結構具脂肽(lipopeptides)
→Echinocandin是半合成的lipopeptide類抗黴菌藥。
ㅤㅤ
(B) 抑制β-1,3-glucan synthase
(C) 阻止真菌細胞壁合成
→這兩句話組成其完整機轉:抑制β-1,3-glucan,阻斷黴菌細胞壁的合成。
ㅤㅤ
(D) micafungin較安定,不易被酵素代謝
→micafungin的代謝並非透過CYP450,但是它容易被肝臟酵素代謝而失活。
5
0
#6612280
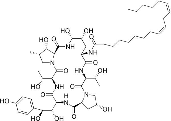
(A)

圖片來源:維基百科 Echinocandin
(B)(C)
-fungin
Echinocandin B、Caspofungin、Micafungin、
Anidulafungin
Echinocandin B、Caspofungin、Micafungin、
Anidulafungin
抑制beta-1,3-glucan合成酶,阻止真菌細胞壁合成
(D)易被COMT代謝
圖片來源:維基百科 micafungin
4
0