題組內容
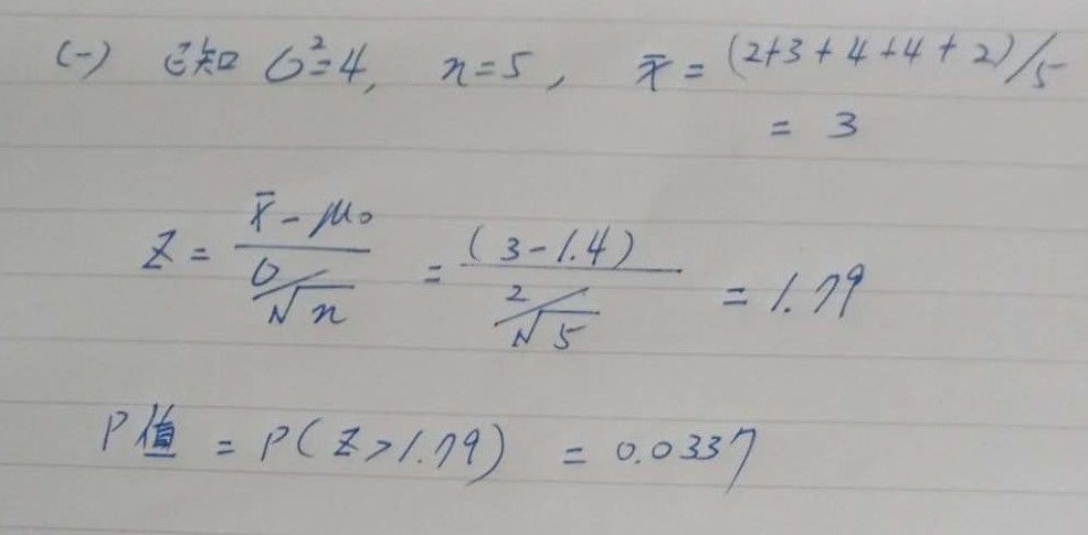
二、設隨機變數 X 服從常態分配,具有平均數 ߤ 未知,變異數 4,從該母體 X 取出一組隨機樣本,有 5 個觀察值,數值如下:2, 3, 4, 4, 2。現進行
之檢定。
⑴試問該組樣本(前述觀測值樣本)平均數所對應的觀測值的顯著水準 (亦稱 p 值)?(10 分)
詳解 (共 1 筆)
詳解

二、設隨機變數 X 服從常態分配,具有平均數 ߤ 未知,變異數 4,從該母體 X 取出一組隨機樣本,有 5 個觀察值,數值如下:2, 3, 4, 4, 2。現進行
之檢定。
