題組內容
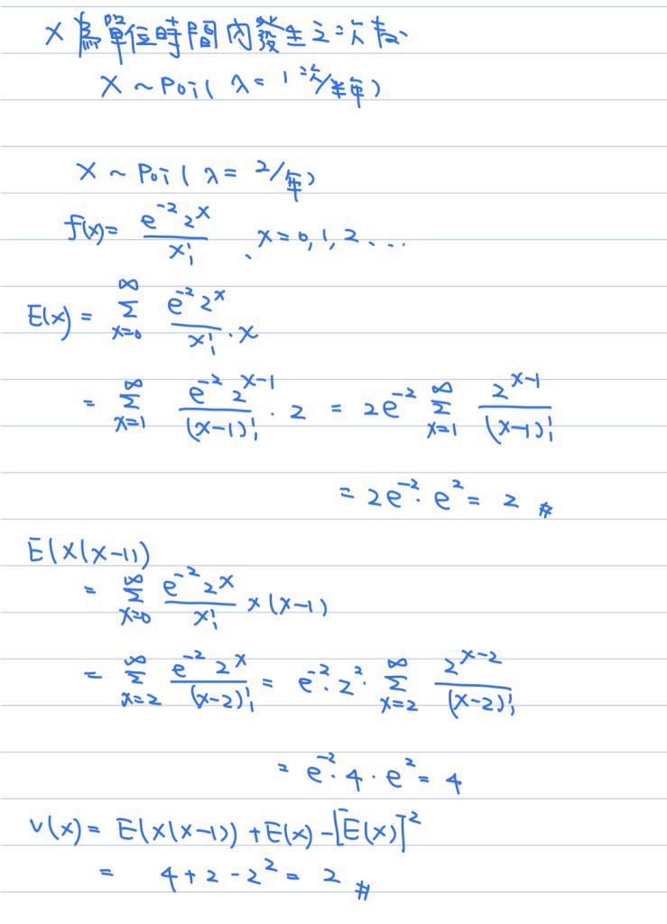
一、若某塑化公司之工安事故次數服從卜瓦松分配(Poisson Distribution),平均每半年
發生一次,則:
⑴在未來一年內發生工安事故次數之平均數及變異數分別為何?(10 分)
詳解 (共 2 筆)
詳解
每半年發生1次, 每年發生2次
=2
詳解
