阿摩線上測驗
登入
首頁
>
教甄◆數學
>
115年 - 115-1 臺北市立中正高級中學_專任教師甄選初試試題:數學科#138690
> 申論題
題組內容
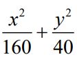
3. 將坐標平面上的圖形:Γ :
=1 以原點為中心逆時針旋轉 45 度後,得到新的圖形 Γ', 試回答以下問題:
(1) 求出圖形Γ'的方程式。(4 分)
相關申論題
1. 等差數列〈an〉滿足 a7 =1 且公差 d> 0 ,若 ,則公差 d = _______。
#568382
2. 函數 f(x)=( −1≤x≤1 )的最大值為_________ 。
#568383
3. 集合 S = {1,2,... ,8},令 T={ (A, B)| A ⊆ S, B ⊆ S且A≠∅,B≠∅,A∩B= ∅},求 n(T ) =________ 。
#568384
4. 已知三次函數f (x)=4x3-6x2+3x+1,求= _______。
#568385
5. 計算 log4[( 1+tan1° )✖(1+tan2°)✖...✖( 1+tan44° )✖(1+tan45° )]=__________ 。
#568386
6. 已知△ABC 三邊長成等差數列,設公差 d> 0 。若 △ABC 外接圓半徑R = 、內切圓半徑 r = , 試求公差 d = __________。
#568387
7. 如右圖,正八面體 ABCDEF 的邊長為 2 。已知 A 為原點, A D E , , 為 xy 平面上的點, B 為 yz 平面上的點,則 B 到 y 軸的距離_________ 。
#568388
8. 計算無窮級數和:=__________。
#568389
9. 設多項式函數 F(x)=(x4-5x3+8x2-4x+1 )4 (x5-6x4+13x3-12x2+5x-2 )3(x2-2x+2)7 , 求其四階導數F(4) (1)=_________ 。
#568390
10. 設方程式 f(x)=x3-x2+3x+31=0 的三個根為 α、 β 、γ ,則 ( a3+27)(β3+27 )(γ3+27 ) =__________。
#568391
相關試卷
115年 - 115-1 臺北市立中正高級中學_專任教師甄選初試試題:數學科#138690
115年 · #138690
115年 - 115-1 國立羅東高中_教師甄選初試︰數學科#138675
115年 · #138675
115年 - 115-1 臺南市立沙崙國際高級中學高中部_教師甄選試題:數學科#138673
115年 · #138673
115年 - 115-1 國立蘭陽女子高級中學_教師甄選試題︰數學科#138666
115年 · #138666
115年 - 115-1 新竹縣立湖口高中_正式教師甄選試題:數學科#138653
115年 · #138653
115年 - [無官方正解]115-1 國立屏科實驗高級中等學校_教師甄選:高中數學科#138645
115年 · #138645
115年 - 115-1 國立屏科實驗高級中等學校_教師甄選試題:國中數學科#138641
115年 · #138641
115年 - 115-1 國立嘉科實驗高級中學_教師甄選試題_高中部:數學科#138615
115年 · #138615
115年 - 115-1 臺北市立大同高級中學_教師甄選初選試題:高中數學科#138591
115年 · #138591
115年 - 115-1 臺北市立大安高工教師甄選試題:數學科#138455
115年 · #138455