題組內容
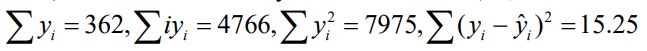
三、超過5成的企業預期未來幾年的AI人力需求將持續上升,特別是在生成式AI的應用下,相關產業的職缺將大幅增加。過去20個月的資料顯示市場對於AI人才之需求呈線性成長趨勢,今考慮需求人數y對時間之簡單線性模型,得到


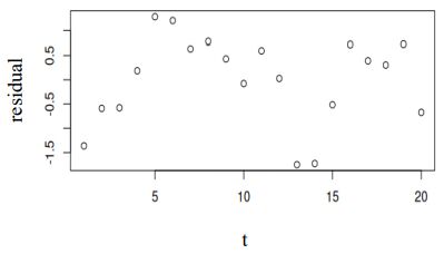
(三)試寫出此模型之假設,並根據以下殘差圖說明模型假設是否合理。
三、超過5成的企業預期未來幾年的AI人力需求將持續上升,特別是在生成式AI的應用下,相關產業的職缺將大幅增加。過去20個月的資料顯示市場對於AI人才之需求呈線性成長趨勢,今考慮需求人數y對時間之簡單線性模型,得到


(三)試寫出此模型之假設,並根據以下殘差圖說明模型假設是否合理。