阿摩線上測驗 登入

申論題資訊

試卷:110年 - 110 專技高考_土木工程技師:結構設計(包括鋼筋混凝土設計與鋼結構設計)#104169
科目:技師◆結構設計
年份:110年
排序:0

題組內容

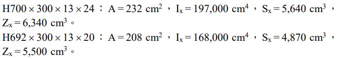
三、有一鋼梁設計採用 H 型鋼 H700 × 300 × 13 × 24,惟現有 H 型鋼為H692 × 300 × 13 × 20。於僅考量強軸的彎矩強度,擬於 H692 × 300 × 13 × 20上下翼板銲接鋼板(如圖所示),使其與 H700 × 300 × 13 × 24 有相同的彎矩強度。可供補強的鋼板厚度為 10 mm。H 型鋼與鋼板的鋼材降伏應力為 Fy = 2.5 tf/cm2,抗拉應力為 Fu = 4.1 tf/cm2。H700 × 300 × 13 × 24 與H692 × 300 × 13 × 20 皆為塑性設計斷面。619ca3594af64.jpg

 參考資料: 
619ca408dfd5f.jpg

申論題內容

(二)若 H692 × 300 × 13 × 20 補強後與 H700 × 300 × 13 × 24 有相同的強軸塑性彎矩強度 Mp,試計算所需的鋼板寬度 x 為多少?