阿摩線上測驗 登入

申論題資訊

試卷:108年 - 108 地方特考_電力工程_三等:電力系統#81298
科目:電力系統
年份:108年
排序:0

題組內容

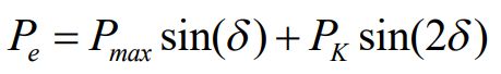
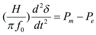
三、一部凸極式同步發電機之搖擺方程式(swing equation)可表示為 5df99c428be9a.jpg, 式 中 同 步 發 電 機 的 電 磁 功 率 Pe 可 表 示 為 5df99c5068115.jpg 。假設發電機之角度δ自其穩態工作點δ0 發生 偏移∆δ,即δ = δ0 + ∆δ。(每小題 10 分,共 20 分)

申論題內容

(二)試求該電機之同步功率係數(synchronizing power coefficient)表示式。