阿摩線上測驗 登入

申論題資訊

試卷:110年 - 110 專技高考_電子工程技師:電磁學與電磁波#104065
科目:電磁學與電磁波
年份:110年
排序:5

題組內容

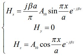
三、一長方形金屬導波管如圖三所示,其內為空氣,傳播模態 619c846545faa.jpg之磁場為 619c8457518bc.jpg619c84fb6cc08.jpg

申論題內容

(二)請說明於那面金屬壁可挖窄槽及位置,於窄槽內放入探針量測電磁特性,而不影響導波管內 619c84d97a792.jpg 傳播模態,並畫出導波管之表面電流分布及窄槽位置。