阿摩線上測驗
登入
首頁
>
作業研究
>
99年 - 99 專技高考_工業工程技師:作業研究#32550
> 申論題
申論題
試卷:99年 - 99 專技高考_工業工程技師:作業研究#32550
科目:作業研究
年份:99年
排序:0
申論題資訊
試卷:
99年 - 99 專技高考_工業工程技師:作業研究#32550
科目:
作業研究
年份:
99年
排序:
0
題組內容
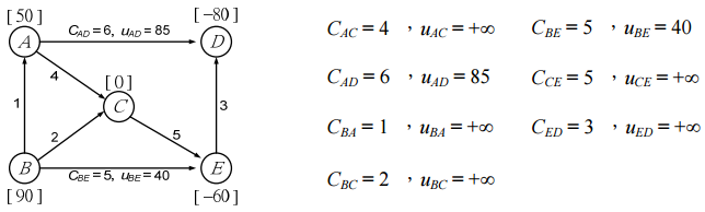
四、考慮以下最小成本流量問題(minimum cost flow problem)。
C
ij
=節點i → j每單位流量的成本。 u
ij
=節點i → j最大流量上限。 b
i
=節點i的淨流量(net flow generated at node i)。
申論題內容
⑴令x
ij
=節點i → j的流量,寫出此問題的線性規劃模式。(5 分)