題組內容
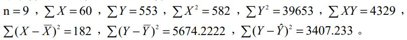
四、業務經理想瞭解其部門內業務代表每個月拜訪客戶的交通里程數(X,單位:仟公里) 與每月總銷售額(Y,單位:仟元)間的關係。此業務經理蒐集 9 個月的資料,初步樣本資料的分析產生以下的資訊:

使用以上資料回答下列問題,請詳細將所使用之公式及計算過程列出:
⑵以顯著水準為 0.05,檢定迴歸斜率是否顯著異於 0。
四、業務經理想瞭解其部門內業務代表每個月拜訪客戶的交通里程數(X,單位:仟公里) 與每月總銷售額(Y,單位:仟元)間的關係。此業務經理蒐集 9 個月的資料,初步樣本資料的分析產生以下的資訊:

使用以上資料回答下列問題,請詳細將所使用之公式及計算過程列出:
⑵以顯著水準為 0.05,檢定迴歸斜率是否顯著異於 0。