阿摩線上測驗
登入
首頁
>
輸送現象與單元操作
>
96年 - 96 高等考試_三級_化學工程:輸送現象與單元操作#37996
> 申論題
申論題
試卷:96年 - 96 高等考試_三級_化學工程:輸送現象與單元操作#37996
科目:輸送現象與單元操作
年份:96年
排序:0
申論題資訊
試卷:
96年 - 96 高等考試_三級_化學工程:輸送現象與單元操作#37996
科目:
輸送現象與單元操作
年份:
96年
排序:
0
題組內容
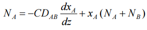
三、Fick 第一擴散定律如下式:
其中 N
A
與 N
B
分別為成分 A 與成分 B 之質傳通量,D
AB
為擴散係數,C 為總濃度, x
A
為成分 A 之莫耳分率,z 為座標軸。
申論題內容
⑵假設在稀薄狀態(x
A
<< 1)及穩態(steady state)下,請證明 k=D
AB
/δ,其中質 傳係數 k 之定義為 N
A
=k(C
A0
– C
Aδ
),δ 為邊界層厚度,C
A0
與 C
Aδ
分別為成分 A 在 z=0 與 z=δ 之邊界濃度。(20 分)