阿摩線上測驗
登入
首頁
>
工程統計學與品質管制概要
>
99年 - 99 地方政府特種考試_三等_工業工程:工程統計學與品質管制#31655
> 申論題
申論題
試卷:99年 - 99 地方政府特種考試_三等_工業工程:工程統計學與品質管制#31655
科目:工程統計學與品質管制概要
年份:99年
排序:4
申論題資訊
試卷:
99年 - 99 地方政府特種考試_三等_工業工程:工程統計學與品質管制#31655
科目:
工程統計學與品質管制概要
年份:
99年
排序:
4
題組內容
二、如果Xi’s是任意一個來自一個平均值(mean)為μ且變異數(variance)為σ 2 之母群 體的隨機樣本,該樣本之平均值(sample mean)為 X ,樣本數為n,我們常用 下列 方程式來描繪樣本之平均值 X 之機率分配:
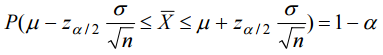
如果將此方程式重新排列成下列之方程式:
此方程式我們稱之為母群體平均值 μ 之 100(1-α)%信賴區間
申論題內容
⑵當 n=100, X =5,σ=1 時,請計算出母群體的平均值 μ 之 95%信賴區間。(15 分)
注意:Z
0.025
=1.96, Z
0.05
=1.645