阿摩線上測驗 登入

申論題資訊

試卷:107年 - 107 專技高考_造船工程技師:電工學(包括電機機械)#73006
科目:電工學(電工原理)
年份:107年
排序:0

題組內容

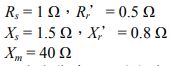
四、四極式 230-Vrms-60-Hz 三角(delta)連接之三相感應電動機,其電氣參 數如下: 5bfe0b378e9c2.jpg

於有負載時,該電動機運轉於 1740 rpm 且有 300 W 的旋轉損失。 

現忽略此旋轉損失,試求該電動機之:

申論題內容

⑶功率因數(power factor)。(10 分)