阿摩線上測驗
登入
首頁
>
電磁學與電磁波
>
107年 - 107 專技高考_電子工程技師:電磁學與電磁波#73009
> 申論題
題組內容
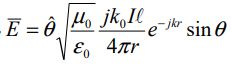
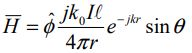
二、一位於原點的電流赫茲偶極矩量(Hertzian Dipole)為
,輻射磁場為
,輻射電場為
。 (每小題 5 分,共 20 分)
⑷請將方向性增益表示為θ 的函數。
相關申論題
⑴請計算臨界角。
#297418
⑵若入射角為 60°,請將 x k 表示為 0 k 的函數。
#297419
⑶請將 kz 表示為 k0 的函數。
#297420
⑷當電場強度( )降至 1/e 且在 z = 0+ 時,請計算電磁波在介質二中 沿 z 軸前進多長距離。
#297421
⑴請計算坡印廷向量(Poynting Vector)的時域平均值。
#297422
⑵請計算總輻射功率。
#297423
⑶請計算輸入電阻。
#297424
⑴使用電流定律(KCL)及電壓定律(KVL),推導兩個以V(z)和I(z)的 一階耦合微分方程式。(7 分)
#297426
⑵承上題之V(z)及I(z)之一階微分方程式,推導出其二階微分方程式。(6 分)
#297427
⑶請解出V(z)和I(z)的通解(General Solution)。(7 分)
#297428
相關試卷
114年 - 114 專技高考_電子工程技師:電磁學與電磁波#133706
114年 · #133706
113年 - 113 專技高考_電子工程技師:電磁學與電磁波#123977
113年 · #123977
112年 - 112 專技高考_電子工程技師:電磁學與電磁波#117670
112年 · #117670
111年 - 111 專技高考_電子工程技師:電磁學與電磁波#111953
111年 · #111953
110年 - 110 專技高考_電子工程技師:電磁學與電磁波#104065
110年 · #104065
109年 - 109 專技高考_電子工程技師:電磁學與電磁波#93139
109年 · #93139
108年 - 108 專技高考_電子工程技師:電磁學與電磁波#80692
108年 · #80692
107年 - 107 專技高考_電子工程技師:電磁學與電磁波#73009
107年 · #73009
106年 - 106 專技高考_電子工程技師:電磁學與電磁波#66514
106年 · #66514
104年 - 104 專技高考_電子工程技師:電磁學與電磁波#41840
104年 · #41840