阿摩線上測驗
登入
首頁
>
國營事業◆自動控制
>
102年 - 102年評價職電子電機人員自動控制考古題#26057
> 申論題
申論題
試卷:102年 - 102年評價職電子電機人員自動控制考古題#26057
科目:國營事業◆自動控制
年份:102年
排序:0
申論題資訊
試卷:
102年 - 102年評價職電子電機人員自動控制考古題#26057
科目:
國營事業◆自動控制
年份:
102年
排序:
0
題組內容
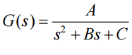
三: 有一線性非時變(LTI)二階系統,其直流增益為 1,輸入輸出轉移函數(I/O transfer function) 為
。若此系統的共軛複數極點(conjugate complex poles)與原點之連線和負實 數軸的夾角皆為 60 度,與原點的距離為 3,則:
申論題內容
(一)此系統的衰減比(damping ratio)ζ與自然頻率(natural frequency)ω
n
分別為若干? 【12 分】