題組內容
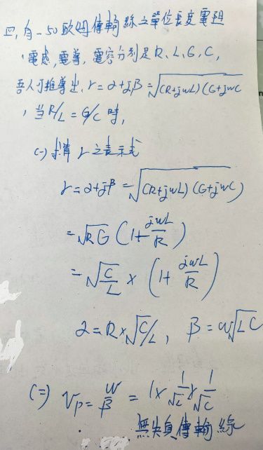
四、有一 50 歐姆傳輸線之單位長度電阻、電感、電導、電容分別是 R、 L、 G、C , 吾人可推導出其傳播常數滿足
,當 R/ L= G/C 時,
⑴求算γ 之表示式。 (5 分)
詳解 (共 1 筆)
詳解

四、有一 50 歐姆傳輸線之單位長度電阻、電感、電導、電容分別是 R、 L、 G、C , 吾人可推導出其傳播常數滿足
,當 R/ L= G/C 時,
