阿摩線上測驗
登入
首頁
>
統計學
>
97年 - 97 國家安全情報特種考試_三等_政經組(外國文選試英文):統計學#48852
> 申論題
申論題
試卷:97年 - 97 國家安全情報特種考試_三等_政經組(外國文選試英文):統計學#48852
科目:統計學
年份:97年
排序:0
申論題資訊
試卷:
97年 - 97 國家安全情報特種考試_三等_政經組(外國文選試英文):統計學#48852
科目:
統計學
年份:
97年
排序:
0
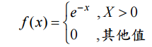
題組內容
二、令X
1
表示某機器故障以前的正常操作時間,X
2
表示機器故障後的修理時間(單位:小 時)。假設此機器在修理後完好如初,並設X
1
和X
2
獨立,且其機率密度函數均為:
申論題內容
⑴試求在正常操作及修理的一個週期內,正常操作時間所占比例
的機 X1 + X 2 率密度函數,以及計算期望值 E (U ) 。(20 分)