阿摩線上測驗 登入

申論題資訊

試卷:110年 - 110 國立政治大學_碩士暨碩士在職專班招生考試_應用物理所:近代物理#102925
科目:研究所、轉學考(插大)-近代物理學
年份:110年
排序:0

題組內容

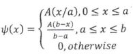
2. [20 points] A particle in the infinite square well has the wave function,6177a910e9597.jpg

申論題內容

2.1 [ 10 points] Sketch 6177aaefc4890.jpgand determine the constant A in terms of a, b.